Một số người trong chúng ta có thể đã biết thông tin, nhìn ánh sáng màu xanh dương vào ban đêm có thể hủy hoại giấc ngủ của chúng ta. Tuy nhiên, không nhiều người thực sự cách ly smartphone của mình hoặc ít nhất áp dụng chiến lược nào đó hạn chế sự phát tỏa ánh sáng xanh từ màn hình điện thoại di động khi đã ở trên giường.

Một nghiên cứu mới đăng tải trên tạp chí Science Translational Medicine đã làm rõ hơn tác hại của việc sử dụng các thiết bị liên lạc và kết nối di động vào ban đêm đối với giấc ngủ của con người, và cung cấp thêm bằng chứng thuyết phục, là căn cứ để các tín đồ công nghệ điều chỉnh thói quen gây hại của mình khi trên giường.
Như chúng ta đã biết, các loại smartphone, máy tính bảng và laptop đều phát tỏa ánh sáng xanh dương rực rỡ, giúp chúng ta nhìn rõ màn hình của chúng dưới ánh sáng chói chang của mặt trời. Tuy nhiên, ảnh hưởng của thứ ánh sáng này đối với giấc ngủ của chúng ta lại rất đáng lo ngại.
Các nhà nghiên cứu phát hiện, việc tiếp xúc với ánh sáng xanh dương rực rỡ vào ban đêm đã đẩy lui thời gian ngủ của chúng ta gần gấp đôi so với ảnh hưởng của việc hấp thu caffeine. Điều này có nghĩa là, việc nhìn chằm chằm vào màn hình smartphone hay máy tính bảng trên giường cũng tương đương với việc chúng ta uống 2 cốc cà phê đặc trước giờ đi ngủ.
Kết luận trên được rút ra sau khi các nhà nghiên cứu tiến hành thí nghiệm nhằm cố gắng định lượng tác động chính xác của caffeine và ánh sáng xanh dương đối với chu kỳ ngủ - thức hay nhịp sinh học của con người. Theo các chuyên gia, nhịp sinh học của con người về cơ bản chịu sự chi phối của thực tế rằng, cơ thể chúng ta, đặc biệt là tuyến tùng ở bộ não, bắt đầu sản sinh hoóc môn melatonin khi đến thời điểm chúng ta đi ngủ và ngừng lại khi chúng ta thức giấc vào buổi sáng.
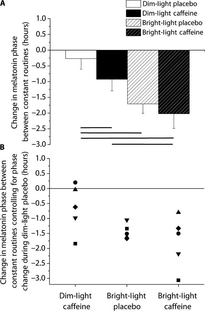
Trong thí nghiệm, nhóm nghiên cứu đã giữ 5 người tình nguyện trong các điều kiện được kiểm soát nghiêm ngặt suốt 49 ngày. 3 tiếng trước khi lên giường, những người tình nguyện được cho tiếp xúc với 1 trong 4 bối cảnh: sử dụng caffeine và tiếp xúc ánh sáng xanh rực rỡ, sử dụng caffeine và tiếp xúc ánh sáng xanh lờ mờ, sử dụng giả dược và tiếp xúc ánh sáng xanh rực rỡ hoặc sử dụng giả dược và tiếp xúc ánh sáng xanh lờ mờ.
Liều lượng caffeine thí nghiệm được quyết định theo trọng lượng cơ thể của những người tình nguyện, nhưng nhìn chung gần tương đương cho một người 68kg uống 2 cốc cà phê đặc.

Như chúng ta đã thấy ở nửa trên của biểu đồ, chỉ mình caffeine (cột đen) đã trì hoãn cái được coi là "thời gian ngủ tự nhiên" của mọi người thêm khoảng 40 phút so với giả dược (cột trắng). Song, ánh sáng rực rỡ (cột sọc trắng) thậm chí còn gây ra ảnh hưởng lớn hơn, trì hoãn thời gian ngủ thêm tới 85 phút so với giả dược. Sự kết hợp của cả ánh sáng rực rỡ và caffeine (cột sọc đen) dẫn tới sự trì hoãn giấc ngủ lên tới 105 phút.
Dù các thí nghiệm chỉ được tiến hành ở nhóm nhỏ đối tượng nghiên cứu, nhưng các tác giả nghiên cứu kết luận, ánh sáng xanh rực rỡ có ảnh hưởng mạnh mẽ hơn nhiều đối với việc sản sinh melatonin và do đó cả giấc ngủ ở người, so với mình caffeine.
Dẫu thừa nhận vẫn cần tiếp tục nghiên cứu về các tác động chính xác của ánh sáng xanh rực rỡ và caffeine đối với giấc ngủ của chúng ta, nhưng các chuyên gia khuyến nghị, để tránh những ảnh hưởng có hại đến nhịp sinh học bình thường của cơ thể, tốt hơn chúng ta nên tránh uống cà phê và sử dụng smartphones, máy tính bảng hay laptop ngay trước khi đi ngủ.
Tuấn Anh (Theo BI)