Sáng nay (20/6), những thí sinh có nguyện vọng vào hệ chuyên Toán của bốn trường THPT tại Hà Nội đến các điểm thi để làm bài môn chuyên. Sau đây là gợi ý lời giải môn Toán chuyên.
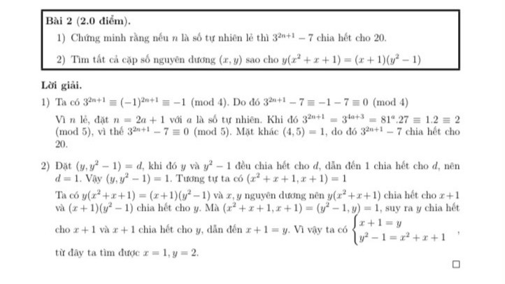
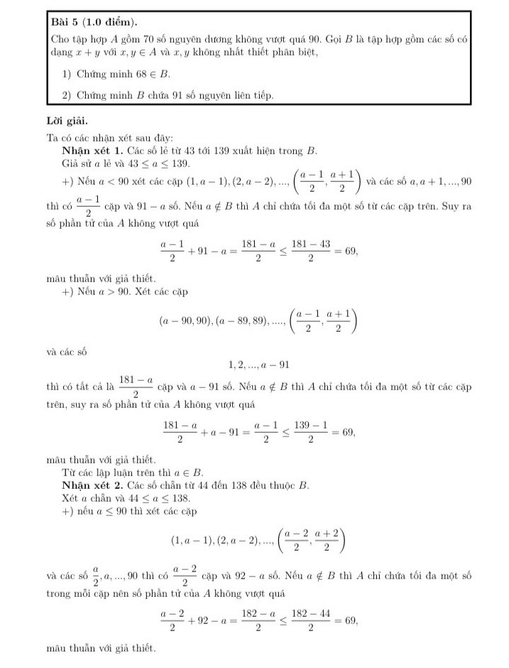
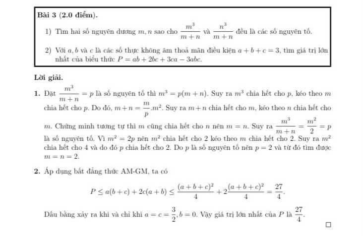
Gợi ý lời giải môn Toán chuyên thi vào lớp 10 ở Hà Nội như sau:
Theo thống kê của Sở GD-ĐT Hà Nội, tổng số lượt đăng ký vào 12 môn chuyên của bốn trường, gồm THPT chuyên Hà Nội - Amsterdam, chuyên Nguyễn Huệ, Chu Văn An, Sơn Tây, là 13.265.
Số lượt đăng ký nhiều hơn số thí sinh bởi một em có thể đăng ký vào các lớp chuyên của hai trong bốn trường, miễn lịch thi của hai môn chuyên không trùng nhau.
Sở không công bố số lượng thí sinh và tỷ lệ chọi vào hệ chuyên của từng trường năm nay mà chỉ cho biết tổng chỉ tiêu vào hệ chuyên của bốn trường là 1.750.
Nhóm tác giả: Nguyễn Tiến Lâm - Phan Anh Quân - Bùi Mạnh Toàn - Trịnh Huy Vũ - Mẫn Bá Tuấn - Phan Hữu An - Đỗ Xuân Trọng- Cao Văn Dũng (CLB Toán A1)
Gợi ý lời giải đề Toán thi lớp 10 chuyên Tin của Hà Nội năm 2022Sáng nay, thí sinh thi vào lớp 10 chuyên Tin học của các trường chuyên thuộc Sở GD-ĐT Hà Nội đã làm bài thi môn chuyên là môn Toán. Dưới đây là gợi ý lời giải đề Toán thi lớp 10 chuyên Tin của Hà Nội năm 2022.
Hôm nay, thí sinh dự thi vào các lớp chuyên Toán của Hà Nội đã làm bài thi môn chuyên. VietNamNet cập nhật đề thi và hướng dẫn giải đề thi vào lớp 10 chuyên Toán của Sở Giáo dục Hà Nội.