
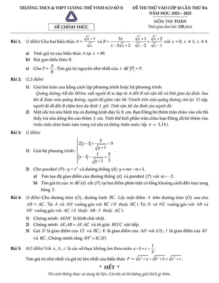
Sau đây là đề thi thử vào lớp 10 môn Toán trường Lương Thế Vinh:

Kỳ thi tuyển sinh lớp 10 tại Hà Nội diễn ra vào ngày 10 và 11/6. Hai bài thi Toán và Ngữ văn theo hình thức tự luận, thời gian làm bài là 120 phút mỗi môn. Với môn Ngoại ngữ, học sinh thi trắc nghiệm trong 60 phút.
Thực hiện công tác phân luồng sau tốt nghiệp THCS, số lượng học sinh tuyển vào trường THPT năm học 2023-2024 khoảng 102.000 em (tăng khoảng 1.000 học sinh so với năm học trước). Trong đó, số lượng tuyển vào các trường THPT công lập khoảng 72.000 học sinh (tăng 1.000 học sinh so với năm học 2022 - 2023), chiếm tỷ lệ 55,7%. Đây là tỷ lệ thấp kỷ lục trong vài năm trở lại đây.
Số còn lại sẽ vào học các trường THPT công lập tự chủ và tư thục, trung tâm GDNN - GDTX và các cơ sở giáo dục nghề nghiệp.
>>> Mời quý phụ huynh, học sinh xem lịch thi lớp 10 năm 2023 mới nhất<<<


Hà Nội: Đề thi và đáp án môn Văn lớp 9 của quận Hai Bà Trưng
