
Đề thi môn Toán vòng 2 dành cho khối chuyên Toán và chuyên Tin của Trường THPT Chuyên Khoa học Tự nhiên trong thời gian 150 phút như sau:

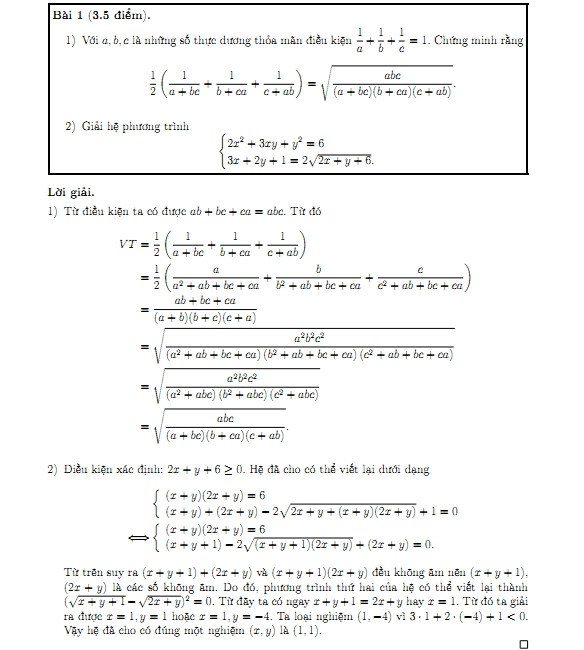
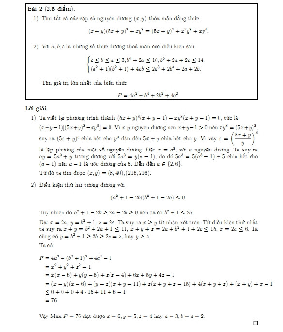
Sau đây là lời giải gợi ý cho đề Toán vòng 2 dành cho khối chuyên vào Trường THPT Chuyên Khoa học Tự nhiên năm 2022:




Như vậy, sáng nay, các thí sinh dự thi vào lớp 10 khối chuyên Toán, chuyên Tin và chuyên Sinh của Trường THPT Chuyên Khoa học Tự nhiên đã hoàn tất các bài thi của mình.
Chiều nay 6/6 là buổi thi môn chuyên cho các thí sinh vào các khối chuyên Vật lý và Hóa học, cũng với thời gian 150 phút.
Năm 2022, Trường THPT Chuyên Khoa học Tự nhiên tuyển 540 chỉ tiêu vào lớp 10 các lớp chuyên Toán, Tin, Lý, Hoá, Sinh và Chất lượng cao (mỗi hệ 90 học sinh).
Mỗi thí sinh được đăng ký dự thi tối đa vào hai trong năm lớp chuyên: Toán học, Tin học, Vật lý, Hóa học, Sinh học.
Trường THPT Chuyên Khoa học Tự nhiên cho biết, thí sinh được đưa vào danh sách xét tuyển phải dự thi đầy đủ 3 bài thi, không vi phạm quy chế thi. Điểm thi của từng môn: môn Ngữ văn, môn Toán (vòng 1) và môn chuyên phải đạt từ 4 trở lên.
Nhà trường cũng lưu ý, điểm môn Ngữ văn là điều kiện, không dùng để tính điểm trúng tuyển vào các lớp chuyên.
Điểm trúng tuyển vào các lớp chuyên là tổng điểm thi môn Toán (vòng 1) nhân hệ số 1 và điểm thi môn chuyên nhân hệ số 2.
Nhà trường cũng không cộng điểm ưu tiên trong tuyển sinh.
Kết quả thi sẽ được công bố trước ngày 25/6/2022 qua tin nhắn đến số điện thoại thí sinh và trên website của nhà trường và Trường ĐH Khoa học Tự nhiên - ĐHQGHN.
Đối tượng dự tuyển vào lớp chất lượng cao phải đáp ứng điều kiện đã tham dự kỳ thi tuyển sinh vào các lớp chuyên năm 2022 của trường và có điểm thi của từng môn: môn Ngữ văn, môn Toán (vòng 1) đạt từ 4 trở lên; có hồ sơ đăng ký xét tuyển vào lớp 10 chất lượng cao.
>>>Chi tiết lịch thi vào lớp 10 của 63 tỉnh, thành phố
Nguyễn Tiến Lâm - Trịnh Huy Vũ - Phan Anh Quân - Phan Hữu An - Mẫn Bá Tuấn - Bùi Mạnh Toàn
(Câu lạc bộ Toán A1)


Đáp án tham khảo môn Toán vòng 1 thi lớp 10 chuyên Khoa học Tự nhiên 2023

Gợi ý đáp án môn Toán chung thi vào lớp 10 trường chuyên Tự nhiên
