
Sở GD-ĐT Hải Dương chính thức công bố điểm thi vào lớp 10 THPT công lập năm học 2025-2026. Thí sinh có thể tra cứu điểm thi và điểm chuẩn qua phần mềm hệ thống tuyển sinh của Sở GD-ĐT Hải Dương tại địa chỉ: https://haiduong-thpt.tsdc.edu.vn/tra-cuu-diem-thi.
Từ ngày 23 đến 25/6, thí sinh có thể nộp đơn phúc khảo nếu có nhu cầu. Ngày 30/6, Sở GD-ĐT Hải Dương sẽ công bố kết quả phúc khảo các bài thi.
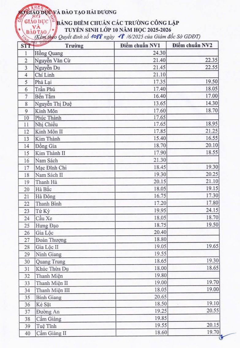
Chiều cùng ngày, Sở này cũng công bố điểm chuẩn vào 40 trường công lập. Trong đó, Trường THPT Hồng Quang lấy điểm chuẩn cao nhất với 24,3 điểm, tức là thí sinh phải đạt trung bình từ 8,1 điểm/môn mới trúng tuyển. Ngoài ra, có khoảng 7 trường THPT khác lấy điểm chuẩn trên 20.
Điểm chuẩn vào lớp 10 của các trường tại Hải Dương cụ thể như sau:


Trước đó, trong hai ngày 3-4/6, hơn 29.200 thí sinh Hải Dương đã hoàn thành 3 môn thi Toán, Văn, Tiếng Anh trong kỳ thi tuyển sinh vào lớp 10 THPT năm học 2025-2026. Ngày 5/6, hơn 800 thí sinh đã hoàn thành bài thi các môn chuyên vào Trường THPT Chuyên Nguyễn Trãi.
>>>Link tra cứu điểm thi lớp 10 của các tỉnh thành cả nước<<<
