




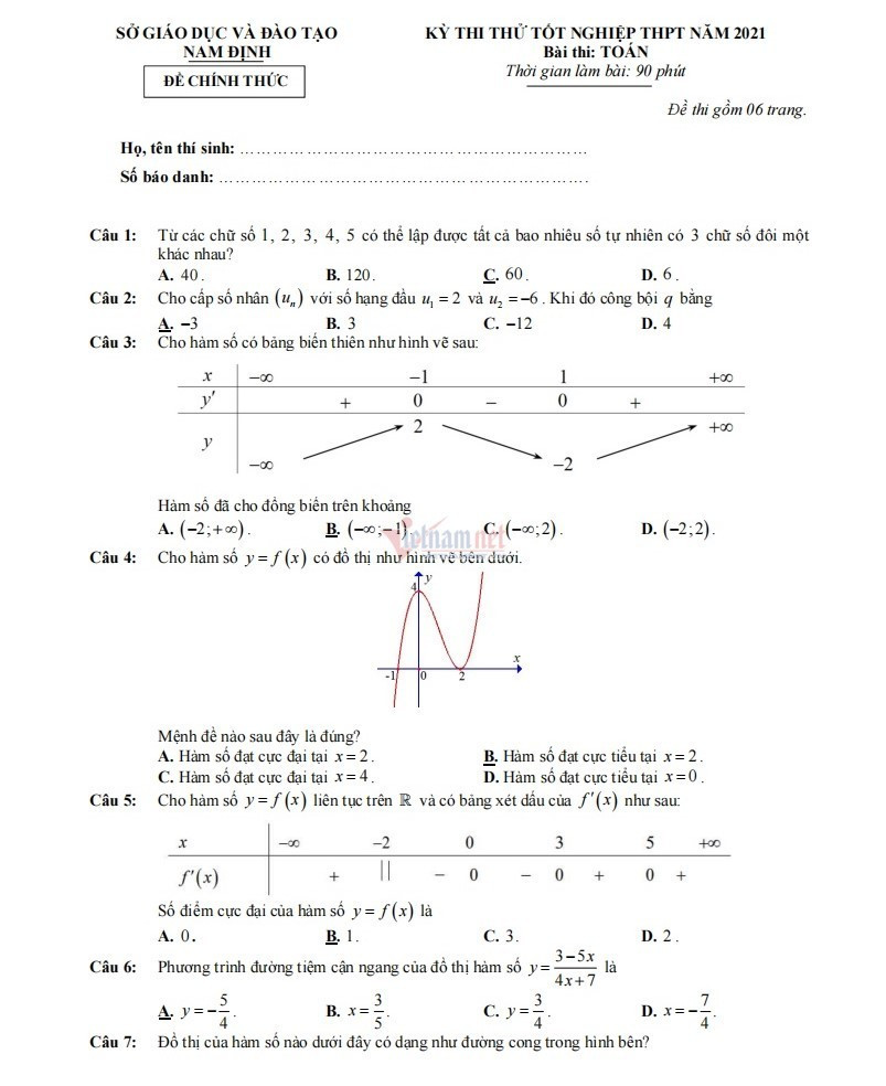
Dưới đây là đề môn thi Toán ở kỳ thi thử tốt nghiệp THPT năm 2021 với 50 câu trong vòng 90 phút mà Sở GD-ĐT Nam Định xây dựng:
![]() |
![]() |
![]() |
![]() |
![]() |
![]() |
| Đề thi thử tốt nghiệp THPT môn Toán năm 2021 của Nam Định. |
Theo Bộ GD-ĐT, năm nay, kỳ thi tốt nghiệp THPT năm 2021 sẽ diễn ra với 2 đợt, đợt 1 từ ngày 7- 8/7/2021; đợt 2 cho những thi sinh không thể tham dự kỳ thi vào các ngày 7, 8/7 do bị ảnh hưởng bởi dịch Covid-19.
Theo Quy chế Tuyển sinh đại học năm 2021 (sửa đổi) do Bộ GD-ĐT ban hành, sau khi biết điểm thi tốt nghiệp THPT, mỗi thí sinh được thay đổi nguyện vọng xét tuyển đại học tối đa 3 lần.
Về xét tuyển sinh, PGS.TS Nguyễn Thu Thủy, Vụ trưởng Vụ Giáo dục Đại học (Bộ GD-ĐT) cho biết, để đảm bảo quyền lợi và sự công bằng cho các thí sinh, Vụ này đã đề xuất phương án xét tuyển sinh ĐH và CĐSP năm 2021 bằng kết quả thi tốt nghiệp THPT trong 1 lần, sau khi kết thúc 2 đợt thi.
“Trong trường hợp dịch bệnh diễn biến phức tạp hơn khiến cho khoảng cách giữa đợt 2 của kỳ thi tốt nghiệp THPT quá xa, Bộ GD-ĐT sẽ có các chỉ đạo và hướng dẫn tiếp theo. Mọi phương án được Bộ GDĐT cân nhắc, đề xuất đều nhằm mục tiêu cuối cùng là đảm bảo quyền lợi của thí sinh, an toàn phòng, chống dịch bệnh nhưng không ảnh hưởng tới chất lượng tuyển sinh ĐH, CSĐP”, bà Thủy nói.
>>> Mời quý phụ huynh và học sinh tra cứu điểm thi tốt nghiệp THPT năm 2021
Thanh Hùng

Cập nhật đề thi môn Toán thi tốt nghiệp THPT 2021 chính thức
Chiều 7/7, các thí sinh dự thi tốt nghiệp THPT năm 2021 đã trải qua bài thi môn Toán. Dưới đây là đề thi môn Toán thi tốt nghiệp THPT 2021 chính thức của Bộ GD-ĐT được cập nhật nhanh nhất trên báo VietNamNet.

Gợi ý đáp án môn Toán thi tốt nghiệp THPT năm 2021
Chiều 7/7, các thí sinh dự thi tốt nghiệp THPT năm 2021 đã trải qua bài thi môn Toán. Dưới đây là đáp án gợi ý cho đề thi môn Toán thi tốt nghiệp THPT 2021.

Cách tính điểm xét tốt nghiệp THPT năm 2021
Theo quy chế được Bộ GD-ĐT đưa ra, kết quả bài thi tốt nghiệp THPT sẽ chiếm 70% điểm xét tốt nghiệp.

Sáu mốc thời gian quan trọng của kỳ thi tốt nghiệp THPT 2021
Theo kế hoạch, bắt đầu từ tuần sau, thí sinh sẽ tham dự kỳ thi tốt nghiệp THPT năm 2021, trong đó 2 ngày thi chính thức sẽ diễn ra vào 7 - 8/7. Dự kiến đến ngày 26/7, điểm thi sẽ được công bố tới các thí sinh.

Đề thi môn Ngữ văn tốt nghiệp THPT 3 năm gần đây có gì đặc biệt?
Mỗi năm đề thi môn Ngữ văn tốt nghiệp THPT luôn có thay đổi để phù hợp với mục đích kỳ thi.

Sau khi có điểm thi tốt nghiệp THPT, thí sinh được điều chỉnh nguyện vọng tối đa 3 lần
Sau khi có điểm thi tốt nghiệp THPT, thí sinh được điều chỉnh nguyện vọng tối đa 3 lần là một trong những điểm mới ở mùa tuyển sinh năm 2021 so với năm 2020.





