Sở GD-ĐT Tây Ninh vừa công bố kết quả chấm phúc khảo, thi THPT quốc gia 2019. Theo đó có 95 bài thi thay đổi điểm sau khi phúc khảo và đều tăng.
Ở các môn thi trắc nghiệm, có 58 bài thi bị điểm 0, đều tăng sau phúc khảo. Bài tăng điểm nhiều nhất là 0 lên 8,75; Bài tăng điểm ít nhất từ 0 lên 2. Có rất nhiều bài thi tăng điểm từ 0 lên 7; 7,2; 7,5 sau phúc khảo.
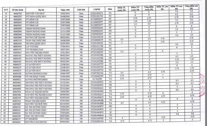
Những thí sinh có bài thi tăng điểm nhiều nhất:
Lê Quang Kỳ, điểm phúc khảo môn Vật lý tăng từ 0 lên 8,5.
Nguyễn Thị Thu Thảo điểm phúc khảo môn Giáo dục công dân từ 0 lên 8.
Lê Quang Huy điểm phúc khảo môn Giáo dục công dân từ 0 lên 8.
Nguyễn Thị Kim Thoa điểm phúc khảo môn Giáo dục công dân từ 0 lên 8,75.
Trong số 58 bài thi bị điểm 0, bài tăng điểm ít nhất lên 2.
Ngoài số bài thi bị điểm 0, có 4 bài thi trắc nghiệm khác cũng tăng điểm phúc khảo, trong đó bài thi tăng nhiều nhất là môn Giáo dục công dân từ 1,25 lên 7,5.
Ở môn tự luận (Ngữ văn) có 33 bài thi thay tăng điểm sau phúc khảo. Mức tăng chủ yếu từ 0,25 đến 0,75 điểm. Bài tăng điểm nhiều nhất chênh lệch 1,75.
![]() |
![]() |
![]() |
| (Ảnh: Lê Huyền chụp lại) |
Trước đó, khi công bố kết quả thi THPT quốc gia 2019, Sở GD-ĐT Tây Ninh đã phát hiện 34 trường hợp bị điểm 0 ở các bài thi môn thi trắc nghiệm gồm Toán 13 bài, Tiếng Anh 9 bài; tổ hợp bài thi Khoa học tự nhiên 4 bài và Khoa học xã hội 8 bài.
Một đại diện của Sở GD-ĐT, cho hay việc hàng loạt bài thi trắc nghiệm bị điểm 0 là điều "bất thường", vì không thể có chuyện một thí sinh thi tổ hợp ba môn mà không làm được bất kỳ câu hỏi nào. Đặc biệt khi tìm hiểu, trong số thí sinh bị điểm 0 có những em học giỏi.
Đơn vị chấm thi trắc nghiệm tại Tây Ninh là Trường ĐH Công nghệ Đồng Nai cũng xác nhận đã phát hiện sự cố khi chấm thi và báo cáo với Bộ GD-ĐT để xử lý.
Lê Huyền

Phát hiện một số bài thi trắc nghiệm bị điểm 0 khác thường
- Khi khai thác dữ liệu chuẩn bị công bố kết quả thi THPT quốc gia, một địa phương đã phát hiện một số bài thi trắc nghiệm thí sinh bị điểm 0 khác thường.


