
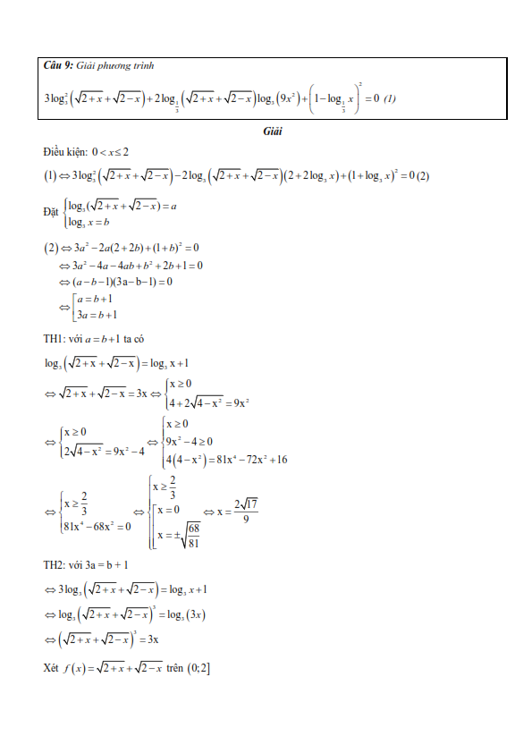
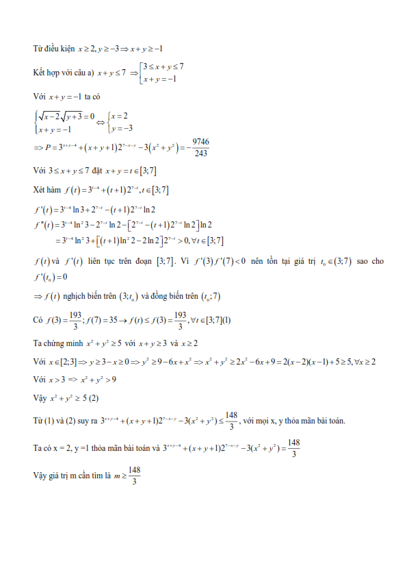
Đáp án đề thi môn Toán THPT quốc gia năm 2016 (Gợi ý tham khảo)
|
|
| Lời giải đề thi môn toán THPT quốc gia 2016 nguồn trung tâm Hocmai.vn |
Đề thi môn toán tốt nghiệp THPT quốc gia năm 2016

Sáng nay 1/7 kỳ thi THPT quốc gia 2016 đã bắt đầu với môn thi đầu tiên là môn toán. Môn toán sẽ được thi với hình thức làm bài tự luận với thời gian 180 phút. Thí sinh bắt đầu làm bài từ lúc 7h30 phút và kết thúc bài thi lúc 10h30 phút.
|
Thí sinh bước vào thi môn toán tốt nghiệp THPT quốc gia năm 2016 |
Phương thức chấm điểm từ trên xuống dưới, đúng đến đâu tính điểm đến đó đồng nghĩa với việc sai ở đâu sẽ không được tính điểm ở phần biến đổi tiếp theo dù ra kết quả đúng nên thí sinh phải rất cẩn thận khi làm bài.
Môn toán sẽ có lượng thí sinh thi rất đông do là một trong ba môn thi bắt buộc để xét tốt nghiệp THPT cùng với các môn ngữ văn và ngoại ngữ.
Hôm qua 30/6 gần 900.000 thí sinh cả nước đã làm thủ tục dự thi THPT quốc gia năm 2016, nhận thẻ dự thi và đính chính các sai sót (nếu có). Bộ GD-ĐT cho biết, đề thi có sự phân hóa, từ cơ bản đến khó, đến rất khó đảm bảo cho những học sinh chỉ học những kiến thức cơ bản, rất cơ bản là sẽ đỗ tốt nghiệp.
Theo thống kê của Bộ GD-ĐT tổng số thí sinh dự thi THPT quốc gia năm nay gần 887.400 (giảm hơn 118.200 so với năm 2015). Số thi chỉ để xét tốt nghiệp THPT là hơn 286.100, số thi để xét tốt nghiệp THPT và xét tuyển vào các trường đại học, cao đẳng gần 519.500. Số thi chỉ để xét tuyển sinh vào các trường đại học, cao đẳng (thí sinh tự do) là 81.770.
Năm nay có tất cả 70 cụm thi được đặt tại các tỉnh, thành phố trên khắp cả nước, trong đó có 5 cụm thi đặt tại TP.Hà Nội, 4 cụm thi tại TP.HCM. So với năm ngoái, năm nay thí sinh đi lại dễ dàng hơn vì mỗi tỉnh đều có cụm thi do trường đại học chủ trì dành cho thí sinh xét tốt nghiệp và xét tuyển đại học, cao đẳng (năm ngoái là 2 tỉnh một cụm).
Trong các buổi thi thí sinh sẽ được giám thị nhắc lại quy chế. Các em chỉ được mang vào phòng thi bút viết, bút chì, compa, tẩy, thước kẻ, thước tính, máy tính bỏ túi không có chức năng soạn thảo văn bản và không có thẻ nhớ. Atlat Địa lý Việt Nam đối với môn thi Địa lý, các loại máy ghi âm và ghi hình chỉ có chức năng ghi thông tin mà không truyền được thông tin.
Phụ huynh và người nhà đưa thí sinh đi thi chú ý nhắc nhở và theo dõi các em tránh mắc phải các lỗi do sơ xuất không cố ý dẫn đến vi phạm không đáng có.
Hà Giang








