Đề thi môn Toán học sinh giỏi tỉnh Nghệ An lớp 9 năm 2022 gồm 5 câu hỏi trong thời gian 150 phút. Trong đó, gồm 3 bài đại số, 1 bài hình học và 1 câu hỏi về tổ hợp. Nhìn chung, đề thi năm nay có các dạng khá giống các năm trước. Điểm mới chính là bài toán về tổ hợp, được đánh giá là khá lạ, hay và mang tính đổi mới nhưng ít điểm.

{keywords}
Đề thi Toán HSG tỉnh Nghệ An lớp 9 năm học 2021 - 2022

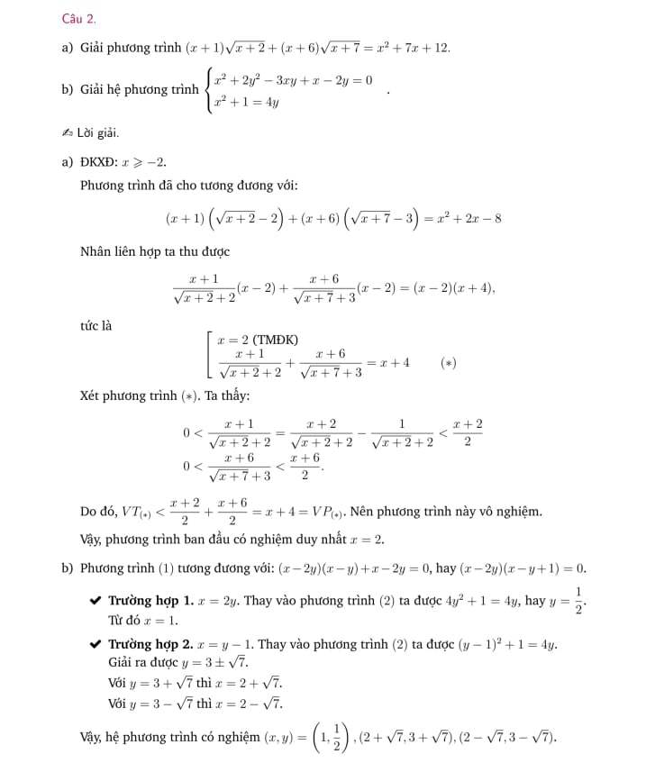
Sau đây là lời giải đề thi học sinh giỏi Toán lớp 9 tỉnh Nghệ An năm học 2021-2022, mời độc giả và các em học sinh tham khảo: 

{keywords}
 
{keywords}
 
{keywords}
 
{keywords}
 
{keywords}
 
{keywords}
 
{keywords}
 

Nguồn: Lớp A1K49 - Trường THPT Chuyên Phan Bội Châu, Nghệ An

Lời giải cho bài bất đẳng thức thi học sinh giỏi lớp 9 tỉnh Bắc Ninh

Lời giải cho bài bất đẳng thức thi học sinh giỏi lớp 9 tỉnh Bắc Ninh

Kì thi chọn học sinh giỏi lớp 9 tỉnh Bắc Ninh năm học 2021 - 2022 vừa kết thúc vào ngày 16/2 vừa qua.

Bài toán phương trình nghiệm nguyên trong đề thi học sinh giỏi lớp 9

Bài toán phương trình nghiệm nguyên trong đề thi học sinh giỏi lớp 9

Bài toán phương trình nghiệm nguyên là bài toán thường gặp trong đề thi chọn học sinh giỏi môn Toán lớp 9 ở các tỉnh, thành.