Sau đây là lời giải tham khảo môn Vật lý thi tốt nghiệp THPT năm 2021 đợt 2:

{keywords}
 
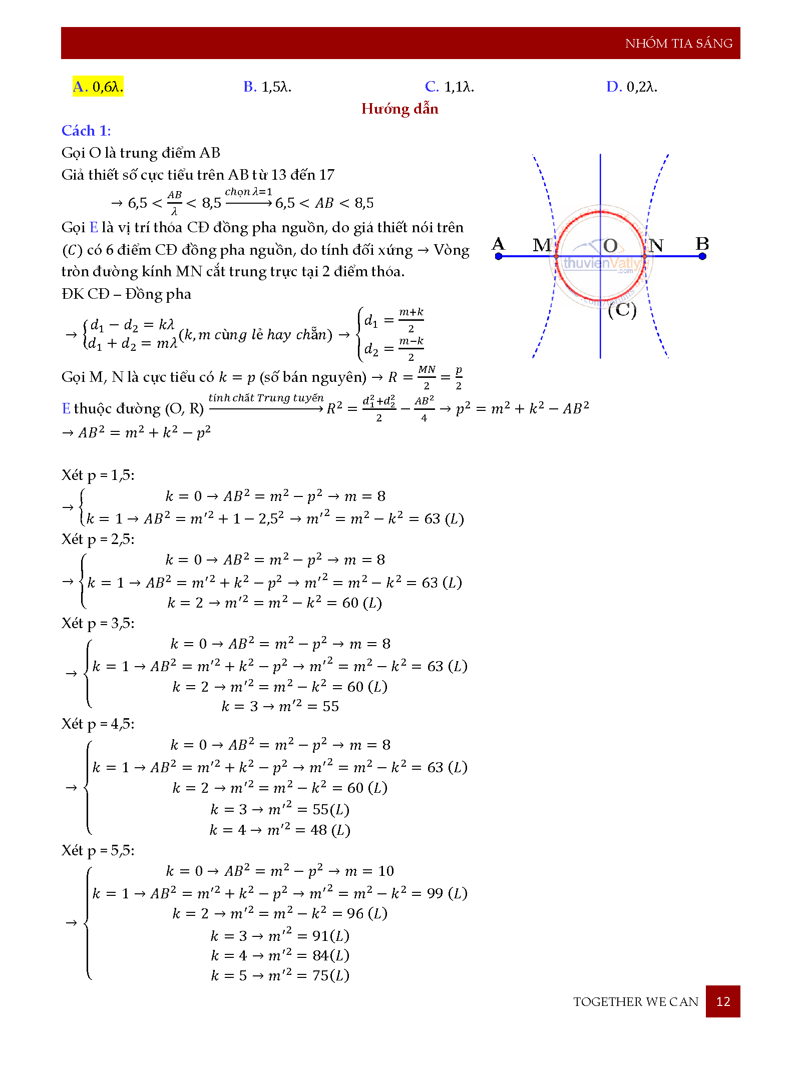
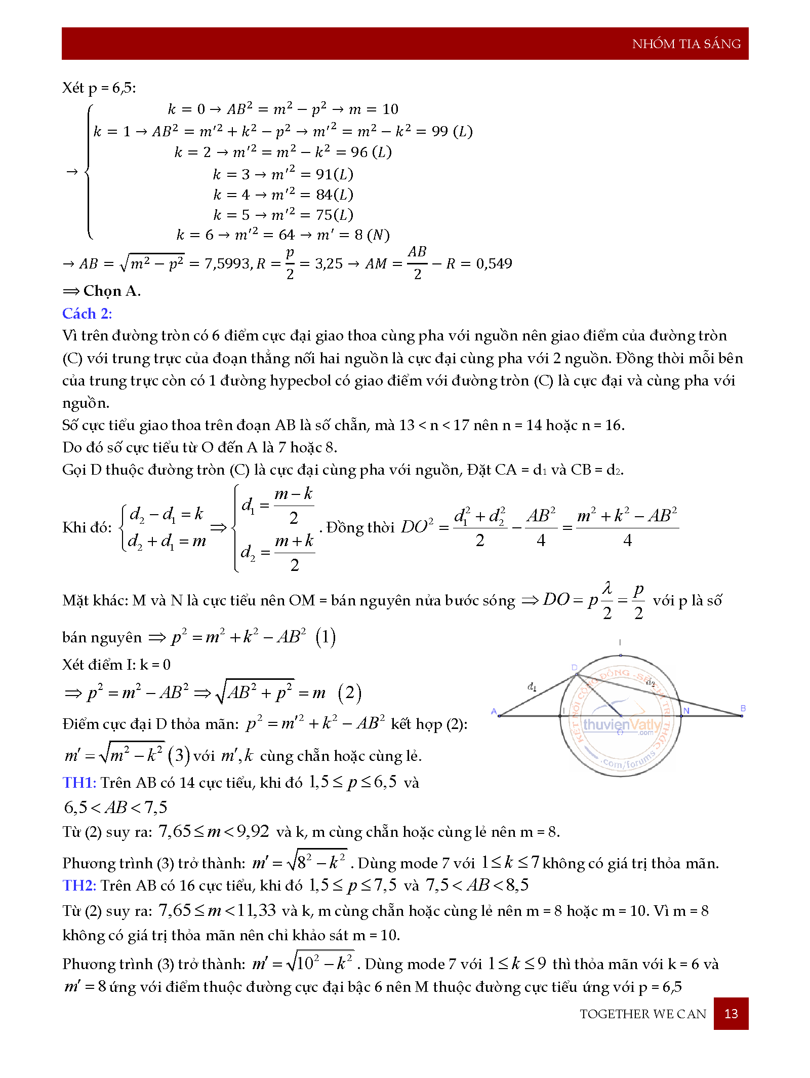
{keywords}
 
{keywords}
 
{keywords}
 
{keywords}
 
{keywords}
 
{keywords}
 
{keywords}
 
{keywords}
 
{keywords}
 
{keywords}
 
{keywords}
 
{keywords}
 
{keywords}
 

Kỳ thi tốt nghiệp THPT đợt 2 có khoảng 11.000 thí sinh của 39 tỉnh thành phố đăng ký dự thi. Cả nước còn 13 Hội đồng thi ở Hải Phòng, Cao Bằng, Bắc Giang, Hưng Yên, Quảng Ngãi, Bình Định, Phú Yên, Đắk Lắk, Lâm Đồng, Đồng Nai...

Ở kỳ thi tốt nghiệp THPT đợt 1, môn Vật lý có 346.404 thí sinh tham gia thi bài thi trong đó điểm trung bình là 6.56 điểm, điểm trung vị là 6.75 điểm; điểm số có nhiều thí sinh đạt nhất là 7.5 điểm. Số thí sinh có điểm <= 1 là 25 (chiếm tỷ lệ 0.01%); số thí sinh đạt điểm dưới trung bình là 45,239 (chiếm tỷ lệ 13.06%).

 >>> Mời quý phụ huynh và học sinh tra cứu điểm chuẩn đại học năm 2021

Nguồn: Nhóm Tia Sáng

Đề thi tiếng Anh tốt nghiệp THPT 2021 đợt 2

Đề thi tiếng Anh tốt nghiệp THPT 2021 đợt 2

Chiều nay 7/8, thí sinh thi tốt nghiệp THPT đợt 2 làm bài thi môn tiếng Anh. Sau đây là Đề thi tiếng Anh tốt nghiệp THPT 2021 đợt 2.

Phổ điểm của tất cả các tổ hợp xét tuyển đại học năm 2021

Phổ điểm của tất cả các tổ hợp xét tuyển đại học năm 2021

Bộ GD-ĐT vừa công bố kết quả phân tích phổ điểm một số tổ hợp xét tuyển truyền thống như A, A1, B, C, D. VietNamNet đăng tải để phụ huynh và thí sinh tham khảo nhằm giúp việc xét tuyển đại học thuận lợi hơn.

Phổ điểm môn Vật lý thi tốt nghiệp THPT 2021

Phổ điểm môn Vật lý thi tốt nghiệp THPT 2021

Bộ GD-ĐT vừa công bố điểm thi tốt nghiệp THPT 2021. Sau đây là phổ điểm môn Vật lý. Theo thống kê nhanh của VietNamNet, môn thi này chỉ có 14 điểm 10 trong tổng số 346.404 thí sinh dự thi.