|
|
| Nguồn: Tổ Toán – Hệ thống giáo dục Hocmai |
Theo nhận định của Tổ Toán – Hệ thống giáo dục Hocmai - thì đề thi có cấu trúc tương tự năm 2018, gồm 5 bài toán lớn, mỗi bài gồm nhiều ý nhỏ được sắp xếp theo thứ tự từ dễ đến khó. Tuy nhiên đề có sự điều chỉnh về hình thức : xuất hiện câu hỏi hình không gian – một phần vốn không xuất hiện trong các năm về trước. Câu hình học chỉ còn 3 ý (các năm về trước thường có 4 ý). Tỉ lệ điểm phần Hình học/Đại số năm nay là 7/3 (các năm trước là 6,5/3,5)
“Đề thi có khoảng 85% câu hỏi thuộc phần kiến thức cơ bản, 15% câu hỏi ở mức vận dụng có tính phân loại cao như câu I.3, câu IV.3, bài 5. Câu khó nhất trong đề là câu IV.3 và bài 5. Thí sinh cần có tư duy và phân tích tốt thì mới đạt điểm tối đa” – thầy Nguyễn Mạnh Cường, Giáo viên Toán trường THPT Chu Văn An (Hà Nội) nhận xét.
Thầy Hồng Trí Quang – Giáo viên Toán, Hệ thống Giáo dục Hocmai - đánh giá chi tiết đề thi như sau: Bài 1: Ở mức độ trung bình, thuộc chuyên đề căn bậc hai, căn bậc ba trong chương trình Toán 9, dạng toán rút gọn biểu thức chứa căn và các câu hỏi phụ, học sinh đã được rèn luyện khá kĩ và hầu hết các em đều làm được câu I.1 và câu I.2. Câu I.3 là câu hỏi học sinh dễ bị mất điểm nếu không cẩn thận.
Bài 2: Bài gồm có 2 ý (khác với năm 2018 chỉ có 1 ý): Với câu II.1: Câu hỏi này có mức độ trung bình - vận dụng thấp, thuộc chuyên đề giải bài toán bằng cách lập phương trình hoặc hệ phương trình (Dạng toán năng suất – làm chung, làm riêng). Để hoàn thành tốt câu hỏi này, các thí sinh cần lưu ý phân tích các dữ kiện trong đề bài để đưa ra mối liên hệ giữa các đại lượng. Với câu II.2: Câu này thuộc dạng hình không gian (hình trụ): Học sinh thường chủ quan không ôn dạng bài này nên dễ bị quên công thức hoặc bỏ qua yếu tố điều kiện (hoành độ khác 0) nên có thể mất điểm.
Bài 3: gồm 2 câu hỏi nhỏ, câu III.1 khác khác với dạng hệ phương trình của năm 2018, năm nay chỉ giải phương trình. Với câu III.2 là về sự tương giao giữa các đồ thị, tương tự như đề thi năm 2018, dạng toán quen thuộc với học sinh. Đề thi xuất hiện câu phương trình trùng phương – một dạng câu hỏi mà 3 năm gần đây không xuất hiện nên học sinh có thể nhầm lẫn khi sử dụng denta để tính nghiệm.
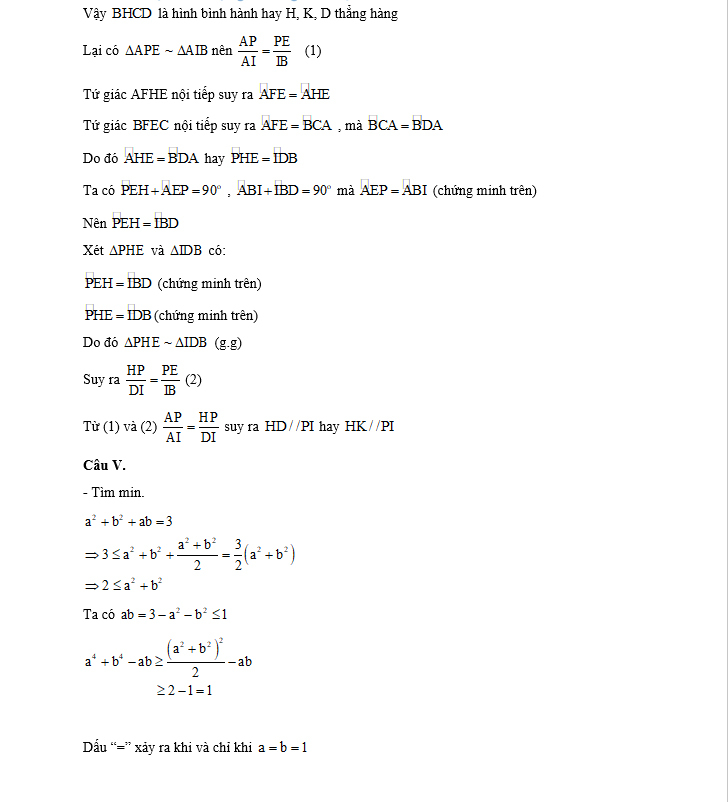
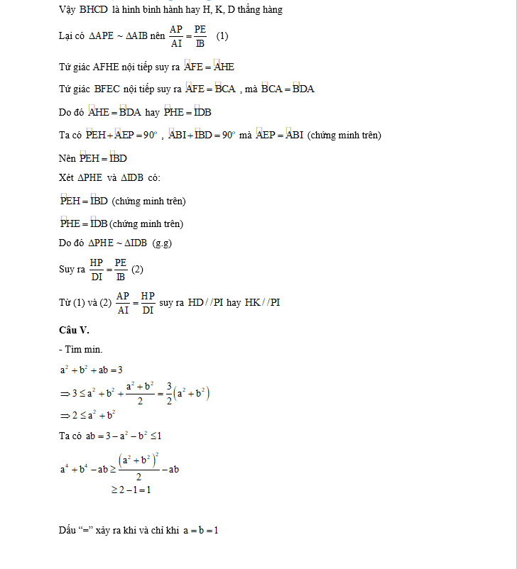
Bài 4: thuộc chủ đề hình học (3 điểm). Năm nay có 3 ý, trong đó các ý IV.1 và IV.2 học sinh có thể dễ dàng chứng minh được. Ý IV.3 là câu vận dung cao, cần có kỹ năng tư duy hình học, xử lý linh hoạt các phép chứng minh và quan sát hình học cao mới có thể giải quyết.
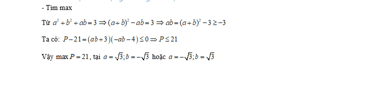
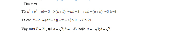
Bài 5: Là câu hỏi phù hợp để phân loại học sinh, câu dành cho học sinh muốn lấy điểm 10 thuộc chuyên đề bất đẳng thức và cực trị, dạng toán tìm giá trị nhỏ nhất của biểu thức. Đây là chuyên đề vốn đã làm các em học sinh lúng túng trong quá trình học cũng như ôn luyện. Phần tìm giá trị nhỏ nhất được đánh giá là dễ hơn và nhiều học sinh sẽ hoàn thành được hơn ý tìm giá trị lớn nhất. Với những học sinh có năng lực biến đối Toán học tốt thì đồng thời sẽ giải quyết tốt được cả 2 ý mà đề bài yêu cầu.
Đánh giá chung về đề thi, Tiến sĩ Phạm Ngọc Hưng cho biết: Đề thi năm nay có cấu trúc tương tự đề thi năm ngoái (2018-2019) với 5 câu hỏi được phân bố ở các kiến thức trong chương trình lớp 9. Phổ điểm phổ biến ở khoảng 7 điểm, điểm 10 cũng sẽ có nhiều hơn năm trước.
Ban Giáo dục

Đáp án gợi ý môn Toán thi lớp 10 năm 2019 của Hà Nội
Dưới đây là đáp án gợi ý của môn Toán, kỳ thi tuyển sinh lớp 10 năm học 2019 - 2020 tại Hà Nội.
Đề thi môn Toán trong kỳ thi tuyển sinh lớp 10 năm nay của Hà Nội giảm nhẹ độ khó ở câu hình học, mức phổ điểm chung là 7 điểm. Dưới đây là gợi ý đáp án của Tổ Toán – Hệ thống giáo dục Hocmai.





