Đề thi môn Toán kỳ thi tuyển sinh vào lớp 10 ở Nghệ An năm 2019:
![]() |
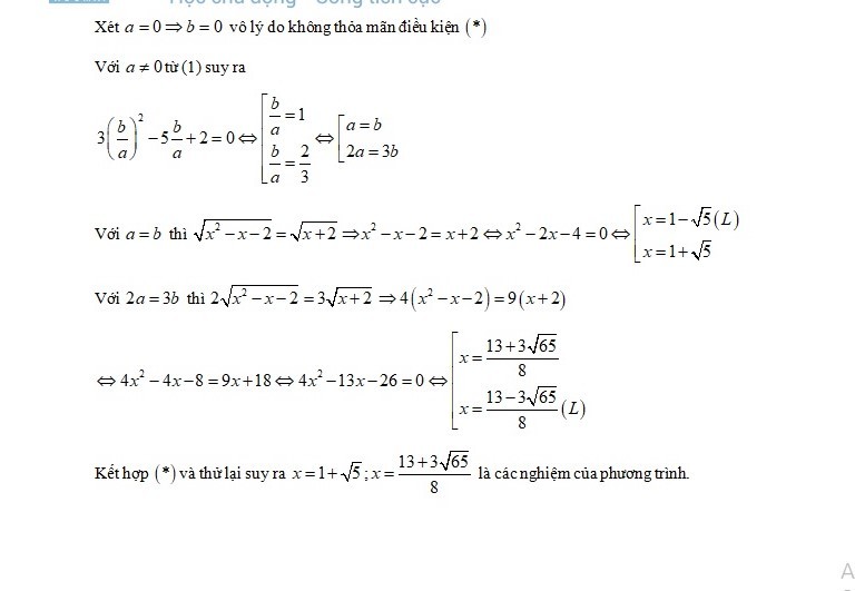
Hướng dẫn giải đề do Hệ thống giáo dục Hocmai cung cấp để tham khảo:
![]() |
![]() |
![]() |
![]() |
![]() |
![]() |
Thanh Hùng
Đáp án môn Toán thi lớp 10 ở Hà Nội năm học 2019-2020
- Sở GD-ĐT Hà Nội vừa công bố đáp án chính thức môn Toán kỳ thi tuyển sinh vào lớp 10 năm học 2019-2020.






