
![]() |
| Đề thi môn Toán vào lớp 10 ở Hà Nội năm học 2018-2019. Ảnh: Thanh Hùng |
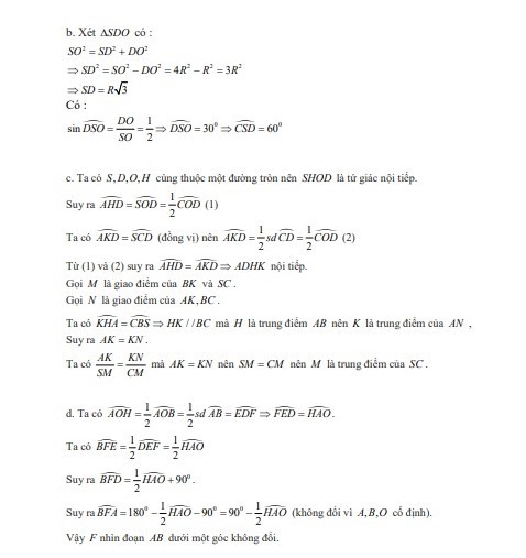
Dưới đây là hướng dẫn tham khảo của các giáo viên tổ Toán - Hệ thống giáo dục Hocmai:
![]() |
![]() |
![]() |
![]() |
![]() |
![]() |
![]() |
![]() |
Thí sinh cũng có thể tham khảo thêm hướng dẫn của các giáo viên ban chuyên môn trung tâm tuyển sinh 247:
Thanh Hùng

Người làm lộ đề thi vào lớp 10 Hà Nội là một thầy giáo
Sở GD-ĐT Hà Nội đã xác định được người đã chụp và làm lộ đề thi cả 2 môn Ngữ văn và Toán vào lớp 10 năm nay ra ngoài khi thí sinh đang làm bài.
Không chỉ đề Văn, đề Toán thi vào lớp 10 Hà Nội cũng bị lọt ra ngoài
Không chỉ đề Văn, đề Toán thi vào lớp 10 ở Hà Nội năm học 2018-2019 cũng bị lọt ra ngoài sau khi các thí sinh bắt đầu bài thi chưa được bao lâu.
Đề thi môn Toán vào lớp 10 tại Hà Nội năm 2018
Chiều nay 7/6, các học sinh của Hà Nội đã trải qua bài thi môn Toán trong kỳ tuyển sinh vào lớp 10 THPT năm học 2018-2019.
Đề Văn thi vào lớp 10 Hà Nội có câu hỏi gây khó cho nhiều thí sinh
Kết thúc buổi thi môn Ngữ văn kỳ thi tuyển sinh vào lớp 10 ở Hà Nội năm học 2018-2019, nhiều học sinh chia sẻ gặp khó với một câu hỏi thử thách khả năng ghi nhớ.

Sở GD-ĐT Hà Nội thừa nhận lọt đề thi Ngữ văn lớp 10 ra ngoài
Sở GD-ĐT Hà Nội thừa nhận có hiện tượng để lọt đề thi, nhưng cho rằng việc này không ảnh hưởng đến kết quả làm bài của thí sinh tại cuộc họp báo thông tin về việc đề thi môn Ngữ văn lớp 10 sáng nay (7/6) vừa diễn ra.
Đề thi ngữ văn lớp 10 ở Hà Nội bị nghi lộ từ sớm
Đề thi môn Văn vào lớp 10 của Hà Nội đang bị nghi đã bị lộ bởi sau khi các thí sinh bắt đầu làm bài không lâu, nhiều phụ huynh đã truyền tay nhau hình ảnh đề giống như đề thật.
Đáp án tham khảo môn Văn thi vào lớp 10 ở Hà Nội năm 2018
VietNamNet xin giới thiệu hướng dẫn tham khảo đáp án đề thi tuyển sinh vào lớp 10 ở Hà Nội năm học 2018-2019.








