Đề thi môn Toán vào lớp 10 ở Nghệ An năm 2020 như sau:
![]() |
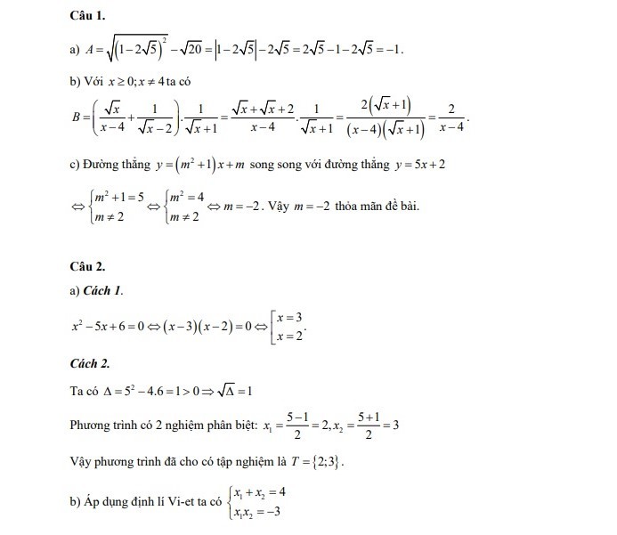
Sau đây là gợi ý lời giải cho đề thi này:
![]() |
![]() |
![]() |
![]() |
(Nguồn: Hệ thống Giáo dục Hocmai)

Đề Toán thi vào lớp 10 Hà Nội: Độ khó vừa phải
Sáng 18/7, thí sinh thi vào lớp 10 ở Hà Nội năm 2020 đã hoàn thành bài thi môn Toán. Đề thi được đánh giá có tính phân loại, phù hợp với một năm học 'đặc biệt'.




