Chiều nay 25/6, từ 14h30 các thí sinh bắt đầu làm bài thi môn Toán trong kỳ thi THPT quốc gia 2019. Môn Toán năm nay thi theo hình thức trắc nghiệm khách quan, thời gian làm bài 90 phút.
Để hỗ trợ các thí sinh cũng như những người quan tâm đến kỳ thi, phía cuối bài sẽ tổng hợp đề thi Toán THPT quốc gia 2019 kèm theo đáp án chi tiết ngay sau khi buổi thi khép lại.
![]() |
Buổi chiều nay ngày 25/6, từ 14h30 các thí sinh bắt đầu làm bài thi môn Toán trong kỳ thi THPT quốc gia 2019. |
Kỳ thi THPT quốc gia 2019 diễn ra từ 25/6 đến 27/6 với 5 bài thi bao gồm Toán, Ngữ văn, Ngoại ngữ, tổ hợp môn Khoa học Tự nhiên (3 môn Vật lý, Hóa học, Sinh học) và tổ hợp Khoa học Xã hội (3 môn Lịch sử, Địa lý, Giáo dục công dân).
Ngoại trừ môn Ngữ văn thi theo hình thức tự luận thì các môn còn lại đều thi trắc nghiệm (xem lịch thi cụ thể các môn ở đây).
Về đề thi, nội dung kiến thức nằm trong chương trình THPT nhưng chủ yếu nằm ở chương trình lớp 12. Đề thi chủ yếu tập trung ở lớp 12, lượng của lớp 10 và lớp 11 là rất nhỏ, sử dụng chủ yếu kiến thức liên quan lớp 12.
Kỳ thi năm nay sẽ chú trọng từ làm chặt hơn quy trình coi thi, chấm thi. Về cách tính điểm tốt nghiệp, năm nay tỷ lệ tính điểm sẽ là 70% điểm thi và 30% điểm trung bình cả năm lớp 12 nhằm tăng sức ảnh hưởng từ điểm thi hướng tới việc học thật, đánh giá thật.
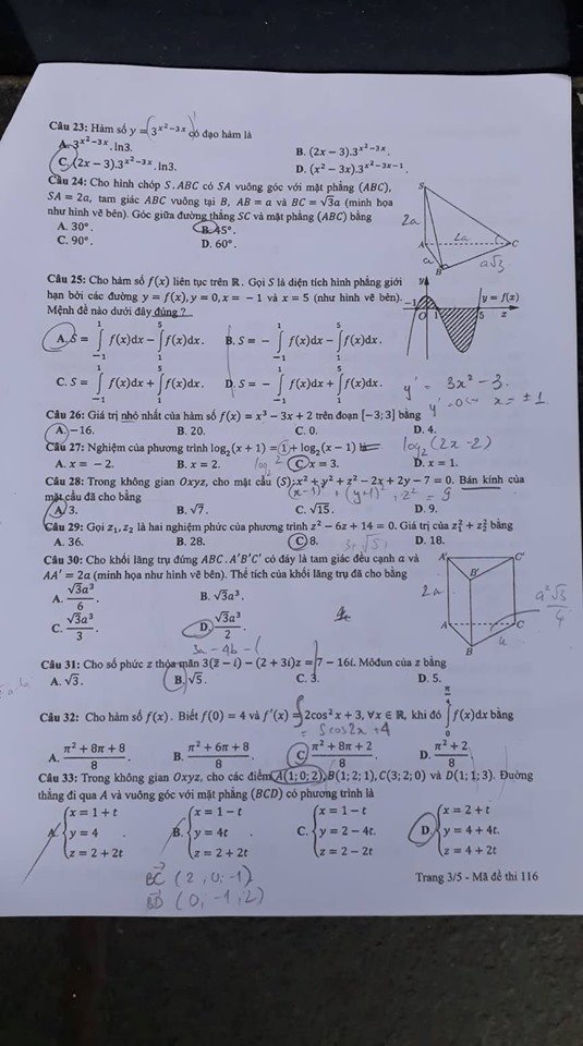
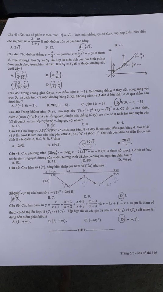
Đề thi Toán THPT quốc gia 2019 có đáp án - Mã 116
*Nguồn: Facebook Tuyensinh247.com.
![]() |
![]() |
![]() |
![]() |
![]() |
Đáp án các mã đề chúng ta cũng có thể xem trên tuyensinh247.com ở đây.
...





