Đề thi vào lớp 10 môn Toán của Nam Định năm 2021 như sau:

{keywords}
 
{keywords}
 

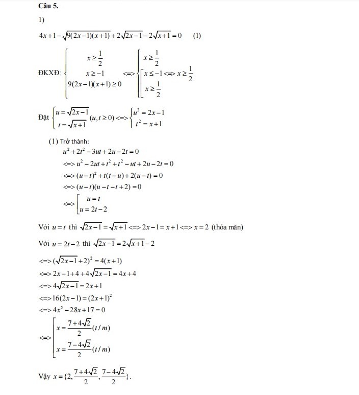
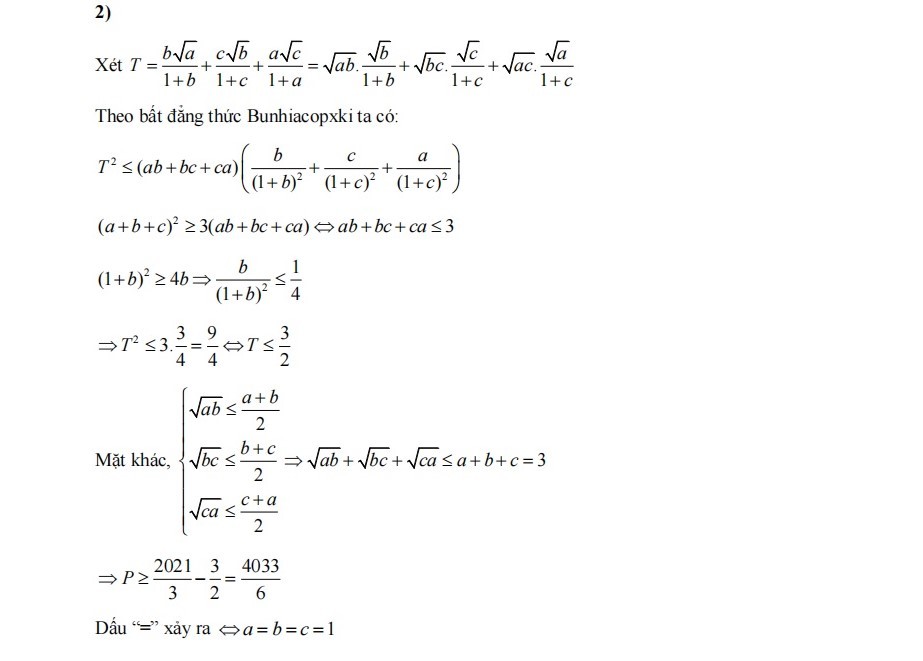
Dưới đây là đáp án gợi ý của đề Toán thi vào lớp 10 Nam Định do Hệ thống giáo dục Hocmai cung cấp:

{keywords}
 
{keywords}
 
{keywords}
 
{keywords}
 
{keywords}
 
{keywords}
 

Thanh Hùng

Điểm chuẩn vào lớp 10 Hà Nội cao nhất có thể tới 53,3 điểm

Điểm chuẩn vào lớp 10 Hà Nội cao nhất có thể tới 53,3 điểm

Chiều nay 28/6, Sở GD-ĐT Hà Nội sẽ công bố điểm chuẩn vào lớp 10 các trường THPT công lập năm 2021. Theo phổ điểm thi, nhiều khả năng điểm chuẩn vào lớp 10 của Hà Nội cao nhất có thể tới 53,3 điểm.

Đề thi vào lớp 10 môn Toán tại Hà Nội năm 2021

Đề thi vào lớp 10 môn Toán tại Hà Nội năm 2021

Sáng nay, các sĩ tử 2k6 đã kết thúc bài thi môn Toán thi vào lớp 10 công lập. Đề thi tuyển sinh vào lớp 10 môn Toán tại Hà Nội năm 2021 được đánh giá phù hợp với một năm học đặc biệt nhất từ trước đến nay.

 

Lời giải đề thi lớp 10 môn Toán của Hà Nội

Lời giải đề thi lớp 10 môn Toán của Hà Nội

Đề thi môn Toán vào lớp 10 năm 2021 của Hà Nội được đánh giá nhẹ nhàng. Sau đây là hướng dẫn giải đề thi vào lớp 10 môn Toán tại Hà Nội năm 2021