Đây là bước tập dượt quan trọng để học sinh chuẩn bị cho kỳ thi THPT quốc gia 2019 sắp tới.
Đề thi môn Toán khảo sát lớp 12 năm 2019 tại Hà Nội gồm 50 câu và thời gian hoàn thành là trong 90 phút.
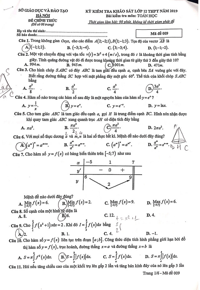
Sau đây là đề thi môn Toán với mã đề 009:
![]() |
![]() |
![]() |
![]() |
![]() |
![]() |
Dưới đây là đáp án tham khảo mà hệ thống giáo dục Hocmai đưa ra:
![]() |
Thanh Hùng

Đề văn thi thử THPT quốc gia năm 2019 của Hà Nội
Ngày 27/3, toàn bộ học sinh lớp 12 tại Hà Nội đã bước vào bài thi môn Ngữ văn trong kì thi kiểm tra khảo sát chất lượng năm 2019.

Công bố chính thức lịch thi THPT quốc gia 2019
Kỳ thi THPT quốc gia 2019 sẽ diễn ra từ ngày 25-27/6.






