
Trường tuyển sinh theo hai phương thức gồm sử dụng kết quả kỳ thi THPT quốc gia năm 2017 để xét tuyển (50% chỉ tiêu tuyển sinh bổ sung) và sử dụng kết quả học tập bậc THPT (học bạ) để xét tuyển (50% chỉ tiêu tuyển sinh bổ sung). Trong đó, uuu tiên các thí sinh đạt điểm đảm bảo chất lượng đầu vào theo quy định của Bộ GD-ĐT (có tổng điểm thi THPT quốc gia của 3 môn thi trong tổ hợp xét tuyển >=15,5 đối với học sinh phổ thông khu vực 3).
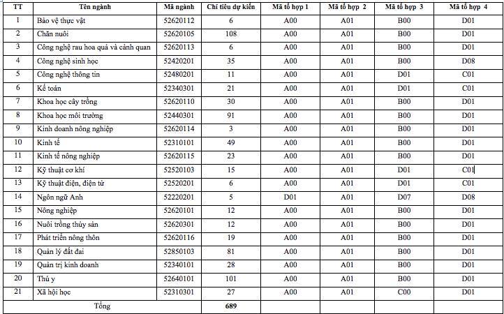
Đối với phương thức xét tuyển dựa vào kết quả thi THPT quốc gia năm 2017 (đối với học sinh phổ thông khu vực 3) cụ thể như sau:
![]() |
Phương thức xét tuyển dựavào kết quả học bậc THPT yêu cầu thí sinh phải đạt ngưỡng điểm xét tuyển cụ thể như sau: Tổng điểm của điểm trung bình 3 môn trong tổ hợp xét tuyển phải đạt từ 18 điểm trở lên, hạnh kiểm lớp 12 đạt loại Khá trở lên.
![]() |
Căn cứ chỉ tiêu dành cho phương thức là xếp thứ tự từ trên xuống để xác định điểm trúng tuyển và ưu tiên các thí sinh đạt điểm đảm bảo chất lượng đầu vào theo quy định của Bộ GD-ĐT. Nếu thí sinh đăng ký nhiều nguyện vọng vào các ngành khác nhau cùng đợt xét tuyển, học viện sẽ xét các nguyện vọng là bình đẳng và trúng tuyển 1 nguyện vọng đối với cùng 1 phương thức xét tuyển.
Điểm trúng tuyển theo ngành đào tạo. Mức chênh lệch điểm trúng tuyển giữa các tổ hợp xét tuyển là 0 (không). Mức chênh lệch điểm trúng tuyển giữa các nhóm đối tượng là 1,0 điểm và giữa các khu vực kế tiếp là 0,5 điểm.
Thí sinh đạt mức điểm nhận hồ sơ xét tuyển đại học đợt bổ sung nếu có nguyện vọng học nộp hồ sơ xét tuyển về trường trước 17h ngày 21/8 (tính theo dấu bưu điện nếu nộp bằng thư chuyển phát nhanh). Ngoài ra, thí cũng có thể nộp trực tiếp tại trường.
Lê Huyền

