{keywords}
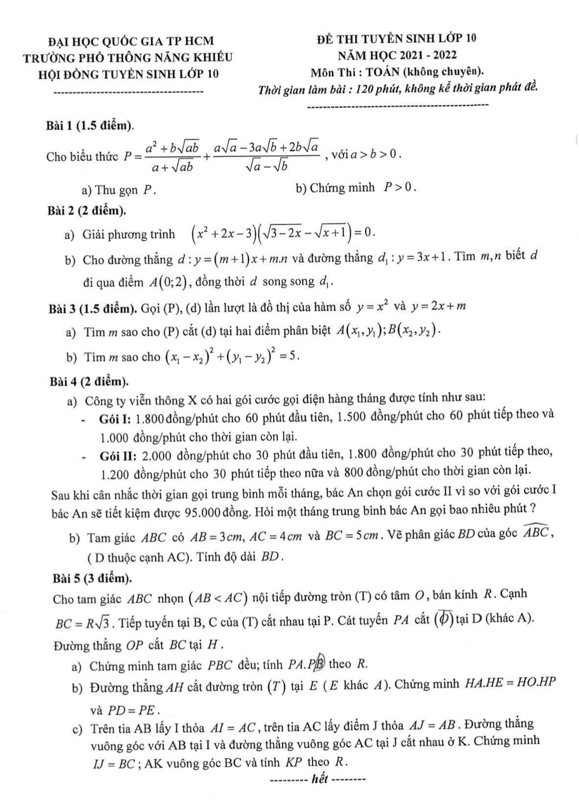
Môn Toán
{keywords}
 
{keywords}
Môn Ngữ Văn
{keywords}
 
{keywords}
 
{keywords}
 
{keywords}
 
{keywords}
 
{keywords}
 
{keywords}
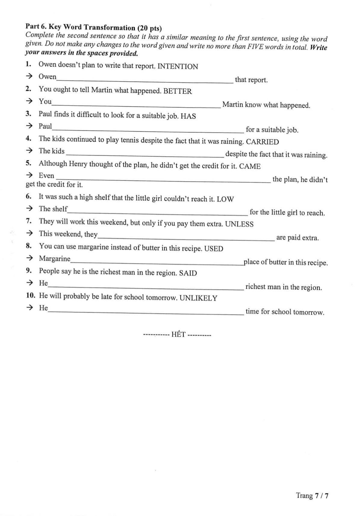
Môn Tiếng Anh

Trường Phổ thông Năng khiếu (ĐH Quốc gia TP.HCM) là trường đầu tiên của cả nước tổ chức thi vào lớp 10 năm 2021 năm nay. Kỳ thi có hơn 2.600 thí sinh tham gia, kéo dài trong 5 ngày để chọn 600 học sinh vào các lớp chuyên. Lớp chuyên Anh Trường Phổ thông Năng khiếu tuyển 70 học sinh nhưng có 1.250 thí sinh đăng ký, tỷ lệ chọi cao nhất là 1 chọi 17,8. Lớp chuyên Toán tuyển 70 học sinh nhưng có 830 thí sinh đăng ký, tỷ lệ chọi là 1 chọi 11,8.

Thí sinh dự thi 3 môn không chuyên bắt buộc Toán, Ngữ văn, Tiếng Anh; 7 môn chuyên gồm: Toán, Tin học, Vật lý, Hóa, Sinh, Ngữ văn, Tiếng Anh.

Trao đổi với VietNamNet,TS Trần Nam Dũng, Phó hiệu trưởng cho hay mặt bằng chung điểm thi ổn định như mọi năm. Môn Toán (điều kiện) có 7 điểm 10; môn Tiếng Anh (điều kiện) không có điểm 10 nào; Môn Ngữ văn (điều kiện) điểm cao nhất là 8,25. Nhìn chung phổ điểm các môn điều kiện tương đối cao. Đối với các môn chuyên, môn Ngữ văn có điểm cao nhất 7,5 Đề chuyên môn Toán, Sinh hơi khó nên điểm không cao. Các môn khác như Hóa, Lý, Tin mức điểm tương đương như các năm trước.

Minh Anh

Đáp án 7 môn chuyên vào lớp 10 Trường Phổ thông Năng khiếu

Đáp án 7 môn chuyên vào lớp 10 Trường Phổ thông Năng khiếu

Trường Phổ thông Năng khiếu (ĐH Quốc gia TP.HCM) công bố đáp án đề thi chuyên Toán, Ngữ văn, Tiếng Anh, Lý, Hóa, Sinh và Tin học trong kỳ thi vào lớp 10 năm 2021.

Đề thi vào lớp 10 chuyên Toán, chuyên Văn, chuyên Anh của Trường PTNK

Đề thi vào lớp 10 chuyên Toán, chuyên Văn, chuyên Anh của Trường PTNK

Sau đây là đề thi môn chuyên Toán, Ngữ văn, Tiếng Anh vào lớp 10 Trường Phổ thông Năng khiếu (ĐH Quốc gia TP.HCM) năm 2021.

Có 7 điểm 10 môn Toán vào Trường Phổ thông Năng khiếu

Có 7 điểm 10 môn Toán vào Trường Phổ thông Năng khiếu

Trường Phổ thông Năng khiếu (ĐH Quốc gia TP.HCM) vừa công bố điểm thi vào lớp 10.