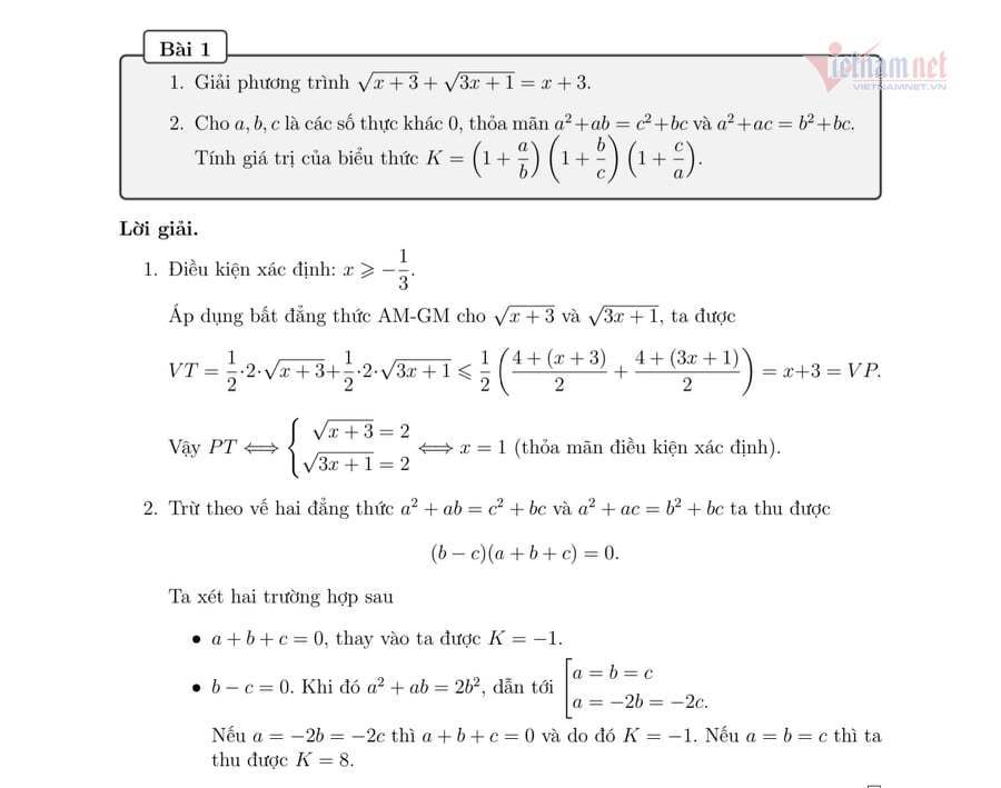
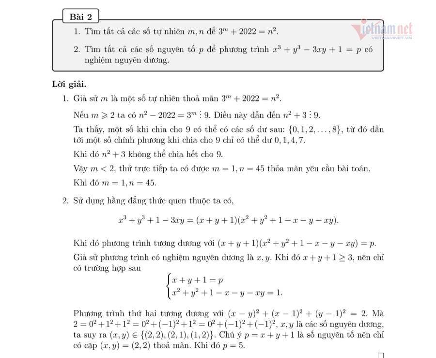
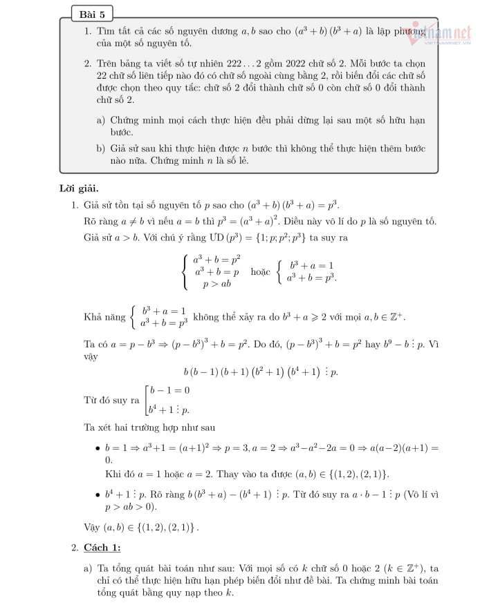
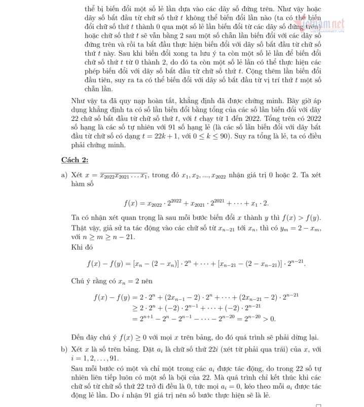
Sau đây là lời giải (tham khảo):
Xem Đề thi học sinh giỏi toán lớp 9 cấp thành phố TẠI ĐÂY
![]() |
![]() |
![]() |
![]() |
![]() |
![]() |
![]() |
![]() |
Kỳ thi học sinh giỏi lớp 9 cấp thành phố năm học 2021 – 2022 của Hà Nội diễn ra vào ngày 24/3, trong đó các môn văn hóa có thời gian làm bài 150 phút; môn khoa học có thời gian làm bài 135 phút.
Đội tuyển mỗi bộ môn văn hóa của quận, huyện gồm 10 thí sinh dự thi, riêng môn Tin học có 5 thí sinh. Đội tuyển thi môn khoa học có 20 thí sinh.
Trong kỳ thi này, có tổng cộng 30 hội đồng coi thi tại 30 quận, huyện. Nội dung thi gồm kiến thức toàn cấp học, riêng lớp 9 tính đến hết học kỳ I.
Các môn Tiếng Anh, Tiếng Pháp, Tiếng Nhật có phần nghe hiểu.
Đối với môn Khoa học, cấu trúc đề thi và nội dung thi sẽ tham khảo tài liệu “Giới thiệu đề thi IJSO, kỳ thi Olympic Khoa học trẻ Quốc tế” lần thứ 10, 11 do Sở GD-ĐT sưu tầm và tuyển chọn.
CLB Toán A1

Lời giải đề thi học sinh giỏi Toán lớp 9 tỉnh Nghệ An
Trong đề thi Toán học sinh giỏi tỉnh Nghệ An lớp 9, câu hỏi bài tổ hợp được đánh giá là khá lạ, hay và đổi mới về hình thức.

Lời giải cho bài bất đẳng thức thi học sinh giỏi lớp 9 tỉnh Bắc Ninh
Kì thi chọn học sinh giỏi lớp 9 tỉnh Bắc Ninh năm học 2021 - 2022 vừa kết thúc vào ngày 16/2 vừa qua.







