Sau 150 phút làm bài thi, sáng nay 16/6 các thí sinh dự thi vào lớp 10 chuyên Toán Trường THPT chuyên Khoa học Tự nhiên đã hoàn thành bài thi toán chuyên vòng 2.
Đây là bài thi quan trọng có tính quyết định với các thí sinh có nguyện vọng vào lớp chuyên Toán do điểm được nhân hệ số 2.
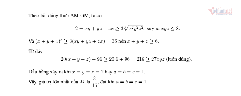
VietNamNet cập nhật hướng dẫn giải đề thi toán chuyên vòng 2 Trường THPT chuyên Khoa học Tự nhiên (Đại học Quốc gia Hà Nội).
![]() |
![]() |
![]() |
![]() |
![]() |
Lời giải câu III (2 cách)
Cách 1:
![]() |
![]() |
Câu III (cách 2):
|
|
![]() |
![]() |
![]() |
Nguồn: Thầy giáo Nguyễn Trung Kiên- Nguyễn Tiến Lâm - Cao Văn Dũng - Nguyễn Minh Thành - Phan Phương Đức- Nguyễn Văn Linh- Mẫn Bá Tuấn

Đề thi Toán vòng 2 chuyên Khoa học Tự nhiên
Sáng 16/6, các thí sinh dự thi lớp 10 chuyên Toán của Trường Chuyên Khoa học Tự nhiên làm bài thi Toán vòng 2 (Toán chuyên) trong thời gian 150 phút.

Lời giải đề Toán điều kiện vào chuyên Khoa học Tự nhiên
Đề thi Toán điều kiện vào Trường THPT chuyên Khoa học Tự nhiên năm 2021 có thời gian làm bài 90 phút. VietNamNet cập nhật nhanh nhất hướng dẫn giải, đáp án đề thi toán vòng 1 vào chuyên Khoa học Tự nhiên.

Lời giải đề thi vào lớp 10 chuyên Toán Hà Nội năm 2021
Đề thi vào lớp 10 chuyên Toán năm 2021 của Hà Nội luôn được đánh giá cao về độ khó so với nhiều địa phương khác.










