Đề thi học sinh giỏi Toán lớp 12 của thành phố Hà Nội năm học 2021 - 2022 gồm 6 câu hỏi. Theo đánh giá của các giáo viên dạy Toán, cấu trúc đề thi chọn học sinh giỏi Toán năm nay ổn định như mọi năm. 

Trong đó, câu 3 (xác suất) được đánh giá hay. Còn lại, các bài trong đề thi về cơ bản là gọn gàng, không đòi hỏi tính toán phức tạp hay cồng kềnh.

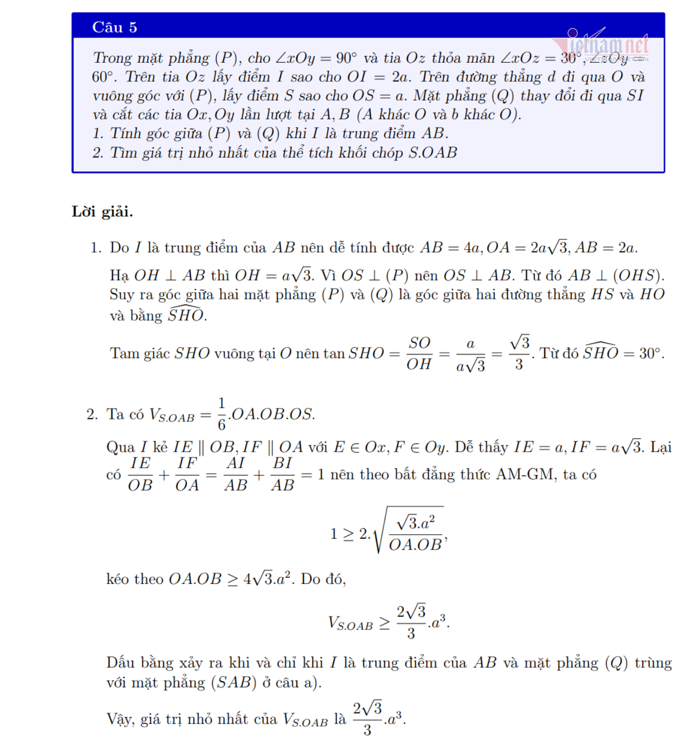
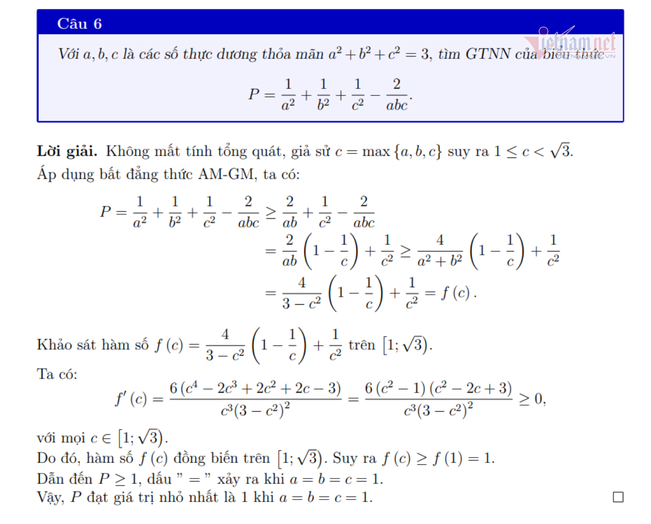
Dưới đây là lời giải tham khảo đề thi chọn học sinh giỏi môn Toán lớp 12 của Hà Nội năm học 2021 - 2022:

{keywords}
 
{keywords}
 
{keywords}
 
{keywords}
 
{keywords}
 
{keywords}
 
{keywords}
 

Nguyễn Tiến Lâm - Phan Phương Đức - Mẫn Bá Tuấn

Lời giải đề thi học sinh giỏi Toán quốc gia năm học 2020-2021

Lời giải đề thi học sinh giỏi Toán quốc gia năm học 2020-2021

Ở môn Toán thi Học sinh giỏi quốc gia năm nay có 475 thí sinh tham dự. Dưới đây là lời giải đề thi học sinh giỏi toán quốc gia năm học 2020 - 2021

Lời giải đề thi vào lớp 10 chuyên Toán Hà Nội năm 2021

Lời giải đề thi vào lớp 10 chuyên Toán Hà Nội năm 2021

Đề thi vào lớp 10 chuyên Toán năm 2021 của Hà Nội luôn được đánh giá cao về độ khó so với nhiều địa phương khác.