
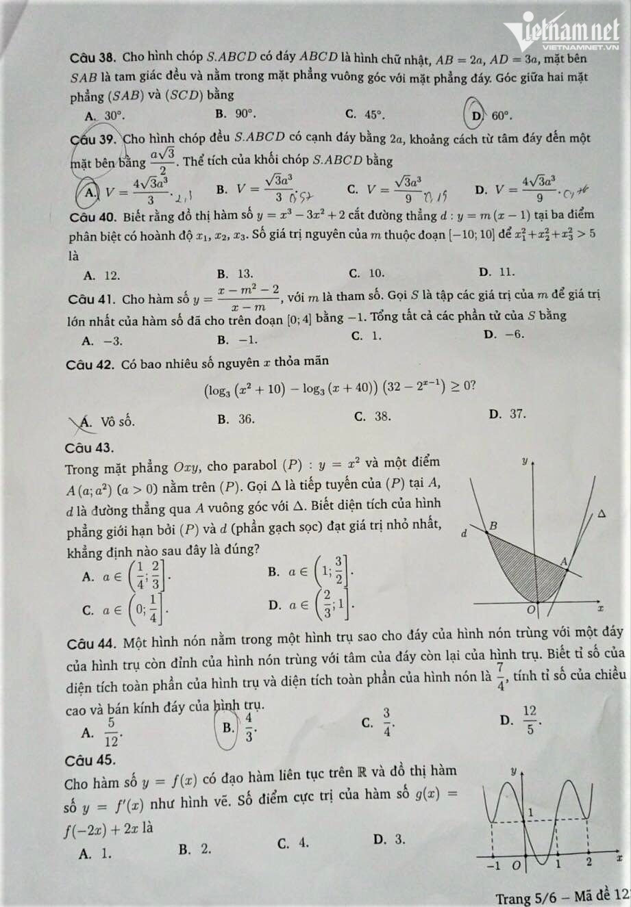
Dưới đây là đề thi thử tốt nghiệp THPT môn Toán cùng đáp án được Sở GD-ĐT Ninh Bình xây dựng để khảo sát chất lượng học sinh năm 2023 với thời gian làm bài 90 phút:






Đáp án của đề thi thử tốt nghiệp THPT môn Toán của Ninh Bình:


Theo Bộ GD-ĐT, lịch thi cũng như đề tham khảo kỳ thi tốt nghiệp THPT năm 2023 sẽ được Bộ công bố vào đầu tháng 3.
PGS.TS Huỳnh Văn Chương, Cục trưởng Cục Quản lý chất lượng (Bộ GD-ĐT) cho biết, việc này nhằm thêm thời gian ôn tập cho học sinh lớp 12. "Từ đầu tháng 3 đến cuối tháng 6 thời gian còn rất dài, vì vậy các em hoàn toàn có đủ thời gian để ôn tập", ông Chương nói.
Theo ông Chương, định hướng ra đề thi của Bộ GD-ĐT giữ nguyên như năm 2022, nội dung thi nằm trong chương trình THPT, chủ yếu và sẽ tăng cường nội dung liên quan đến vận dụng thực tiễn ở một số môn học.
"Đề thi tốt nghiệp THPT năm 2023 dự kiến giữ ổn định như năm 2022, đồng thời, có sự tăng cường hợp lý một số nội dung liên quan đến vận dụng thực tiễn ở một số môn, để từng bước tiệm cận với định hướng đánh giá năng lực phù hợp với mục tiêu, yêu cầu phát triển năng lực phẩm chất người học của Chương trình giáo dục phổ thông 2018", ông Chương nói.
Về lịch thi tốt nghiệp THPT 2023, dự kiến sẽ được tổ chức sớm hơn so với năm ngoái, vào tuần cuối của tháng 6 (thay vì vào tháng 7 như các năm trước).


Bộ GD-ĐT công bố đề mẫu thi tốt nghiệp THPT vào đầu tháng 3

Lịch thi tốt nghiệp THPT năm 2023 dự kiến diễn ra sớm hơn
\