
Trường ĐH Ngoại thương cho biết, bảng quy đổi điểm tương đương giữa các phương thức/nhóm đối tượng xét tuyển được xác định căn cứ trên dữ liệu tuyển sinh 3 năm gần nhất (2022-2024), kết quả học tập tại trường của sinh viên đã trúng tuyển của từng nhóm đối tượng, phổ điểm xét tuyển kết hợp theo từng nhóm đối tượng/phương thức xét tuyển và phổ điểm thi tốt nghiệp THPT năm 2025 theo các tổ hợp.
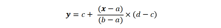
Theo đó, trong cùng một bảng quy đổi điểm, mức điểm chuẩn “x” thuộc khoảng phân vị (a,b) của phương thức xét tuyển/nhóm đối tượng xét tuyển này sẽ tương đương mức điểm chuẩn “y” thuộc khoảng phân vị (c,d) tương ứng với phương thức xét tuyển/nhóm đối tượng xét tuyển khác theo công thức như sau:

Bảng quy đổi điểm tương đương giữa các phương thức xét tuyển/nhóm đối tượng xét tuyển
- Đối với Chương trình tiêu chuẩn (không bao gồm Chương trình tiêu chuẩn Ngôn ngữ thương mại)
Bảng quy đổi căn cứ trên dữ liệu điểm xét tuyển theo nhóm đối tượng xét tuyển sử dụng kết quả thi tốt nghiệp THPT năm 2025 của ba môn trong tổ hợp môn xét tuyển của trường (theo tổ hợp gốc A00 trên thang điểm 30):

Trường ĐH Ngoại thương lưu ý, điểm xét tuyển thí sinh sử dụng kết quả thi tốt nghiệp THPT của các tổ hợp môn xét tuyển A01, D01, D02, D03, D04, D06, D07 thấp hơn tổ hợp gốc A00 (*) là 1 điểm trên thang điểm 30.
Điểm xét tuyển của các nhóm đối tượng trên đã bao gồm điểm ưu tiên giải, điểm ưu tiên đối tượng chính sách và khu vực theo quy định tại thông báo tuyển sinh đại học chính quy năm 2025 của trường.
- Đối với Chương trình Chất lượng cao và Chương trình tiên tiến (không bao gồm các Chương trình Chất lượng cao Ngôn ngữ thương mại)
Bảng quy đổi căn cứ trên dữ liệu điểm xét tuyển theo nhóm đối tượng xét tuyển kết hợp giữa kết quả thi tốt nghiệp THPT năm 2025 và điểm quy đổi của chứng chỉ ngoại ngữ quốc tế (CCNNQT) (theo tổ hợp gốc D01 trên thang điểm 30):

Nhà trường lưu ý, điểm xét tuyển của các nhóm đối tượng trên đã bao gồm điểm ưu tiên giải, điểm ưu tiên theo đối tượng chính sách và khu vực, điểm chứng chỉ ngoại ngữ quốc tế được quy đổi theo quy định tại thông báo tuyển sinh đại học chính quy năm 2025 của trường.
- Đối với Chương trình Định hướng nghề nghiệp và phát triển quốc tế
Bảng quy đổi căn cứ trên dữ liệu điểm xét tuyển theo nhóm đối tượng xét tuyển kết hợp giữa kết quả thi tốt nghiệp THPT năm 2025 và điểm quy đổi của chứng chỉ ngoại ngữ quốc tế (CCNNQT) (theo tổ hợp gốc D01 trên thang điểm 30):

Nhà trường lưu ý, điểm xét tuyển của đối tượng sử dụng kết quả thi tốt nghiệp THPT của các tổ hợp môn xét tuyển A01, D01, D06, D07 thấp hơn tổ hợp gốc A00 (*) là 1 điểm trên thang điểm 30.
Điểm xét tuyển của các nhóm đối tượng trên đã bao gồm điểm ưu tiên giải, điểm ưu tiên theo đối tượng chính sách và khu vực, điểm chứng chỉ ngoại ngữ quốc tế được quy đổi theo quy định tại thông báo tuyển sinh đại học chính quy năm 2025 của trường.
- Đối với Chương trình Khoa học máy tính và dữ liệu trong kinh tế và kinh doanh
Bảng quy đổi căn cứ trên dữ liệu điểm xét tuyển theo nhóm đối tượng xét tuyển bằng kết quả thi tốt nghiệp THPT năm 2025 của ba môn trong tổ hợp môn xét tuyển của trường (theo tổ hợp gốc A00 trên thang điểm 40):

Nhà trường lưu ý, điểm xét tuyển của các đối tượng tuyển sinh được quy về thang điểm 40 (đã bao gồm điểm ưu tiên giải, điểm ưu tiên theo đối tượng chính sách và khu vực và điểm chứng chỉ ngoại ngữ quốc tế được quy đổi) theo quy định tại thông báo tuyển sinh năm 2025 của trường.
Đối với điểm xét tuyển của nhóm đối tượng sử dụng kết quả thi tốt nghiệp THPT năm 2025 xét tuyển Chương trình Khoa học máy tính và dữ liệu trong kinh tế và kinh doanh: Không áp dụng mức chênh lệch điểm giữa các tổ hợp môn xét tuyển.
- Đối với Chương trình tiêu chuẩn Ngôn ngữ thương mại
Bảng quy đổi căn cứ trên dữ liệu điểm xét tuyển theo nhóm đối tượng xét tuyển bằng kết quả thi tốt nghiệp THPT năm 2025 của ba môn trong tổ hợp môn xét tuyển của Trường (theo tổ hợp gốc D01 trên thang điểm 40):

Điểm xét tuyển của các đối tượng tuyển sinh được quy về thang điểm 40 (đã bao gồm điểm ưu tiên giải, điểm ưu tiên theo đối tượng chính sách và khu vực) theo quy định tại thông báo tuyển sinh năm 2025 của trường.
- Đối với Chương trình Chất lượng cao Ngôn ngữ thương mại
Bảng quy đổi căn cứ trên dữ liệu điểm xét tuyển theo nhóm đối tượng xét tuyển kết hợp giữa kết quả thi tốt nghiệp THPT năm 2025 và điểm quy đổi của chứng chỉ ngoại ngữ quốc tế (CCNNQT) (theo tổ hợp gốc D01 trên thang điểm 40):

Bảng quy đổi điểm tương đương dành cho các Chương trình Chất lượng cao Ngôn ngữ thương mại.
Điểm xét tuyển của các đối tượng tuyển sinh được quy về thang điểm 40 (đã bao gồm điểm ưu tiên giải, điểm ưu tiên theo đối tượng chính sách và khu vực, điểm chứng chỉ ngoại ngữ quốc tế được quy đổi) theo quy định tại thông báo tuyển sinh năm 2025 của trường.
Trường ĐH Ngoại thương cũng lấy ví dụ cách tính quy đổi điểm tương đương giữa các phương thức/nhóm đối tượng xét tuyển để thí sinh dễ hình dung như sau:



